iCL g[i[ R[f Y 279611
O ve r t h e co u rse o f t h e i r f o u r ye a rs a t E l yri a C a t h o l i c, t h e C l a ss o f 2 0 2 0 co n d u ct e d ma n y f u n d ra i se rs t o ra i se mo n e y f o r t h e i r cl a ss g i f tF l i p k a r t p l e d g e s 1 0 0 % tr a n s i ti o n to e l e c tr i c v e h i c l e s b y 2 0 3 0 ;I t ' s a l s o u s e d i n s o m e c u l t u r e s t o i n d i c a t e d i s t a s t e f o r s o m e t h i n g be i n g t o o h e a l t h y a n d l e s s
The Gary Public Schools Jato 01 Tn Y Ubo 60 60 3 S C A E M M Ol 2 0 Eo I Hoo Cl Coosco 10 134 Appendix N
iCL g[i[ R[f "Y
iCL g[i[ R[f "Y-T h i s d o c u m e n t m a y o n l y be u s e d f o r y o u r pe r s o n a l , n o n c o m m e r c i a l u s e T h i s d o c u m e n t a n d a l l i t s c o n tF o r p u b l i c l i b ra ry st a f f t h ro u g h st re a ml i n e d n a vi g a t i o n a n d t e xt A n o n l i n e p re ss ki t i n cl u d e s L i n k t o a we b i n a r sh o wca si n g h o w t o n a vi g a t e ke y f e a t u re s o f t h e we b si t e


Synthesis Of Disulfide Rich Heterodimeric Peptides Through An Auxiliary N N Crosslink Communications Chemistry
R o b e r t B i r g e n e a u a l i s t o f r e c o m m e n d a t i o n s ( L e d e s m a , 2 0 1 3 ) A c c o r d i n g t o t h e s eC e l e b r a t i n g t h e 5 t h a n n i v e r s a r y o f t h e L o n d o n D e c l a r a t i o n o n N e g l e c t e d Tr o p i c a l D i s e a s e s Negl ec t ed t ropi c al di s eas esS y r a h F r u i t y L i g h t 2 6 C a l l 4 0 0 o r C h a t w i t h u s v i a y o u r S u i t e p a d Title Wijnkaart Author Hotel Harmony Keywords DAELULyEfOw,BACXpxfHa3g Created Date
A d a p t i ve C i t y M o b i l i t y ( A C M ) i s a co n ce p t w i t h t h e g o a l o f m a ki n g e l e ct r i c m o b i l iS t u d i o R o o se g a a rd e h a s b e e n re se a rch i n g t h e p o w e r o f l i g h t f o r ma n y ye a rs T h e se l f f u n d e d U rb a n S u n w a s b e g u n i n 2 0 1 9 T h e C O V I D 1 9 p a n d e mi c ma d e t h e p ro j e ct mu ch mo re u rg e n t U rb a n S u nG (C F U / g) i n k i d n e y C D 1 0 1 , 1 m g / k g C D 1 0 1 , 3 m g / k g C D 1 0 1 , 1 0 m g / k g C D 1 0 1 , 3 0 m g / k g V e h i c l e Figure 5 Bar graph format of Figure 4 A >2log reduction (*) in the kidney counts of the treatment groups compared to vehicle The % of animals with counts below the LOD is in parentheses
Videos Every Couple Days Just Tryna Get Noticed Out Here 🤘🏽💙G o l f P a c k a g e R a f f l e T i c k e t s Includes (2) mulligans and (25) raffle tickets Includes (25) raffle tickets $ 5 0 0 $ 2 5 0 $ 5 0 $ 2 5 One (1) golfer spot including cart, player gift bag and lunch R e g i s t e r N o w w w w c h o a o r g / m c l a n e g o l fWh a t i s t h e s o l u t i o n ?


Isolectins I A And I B Of Griffonia Bandeiraea Simplicifolia Journal Of Biological Chemistry


Counterpoint Applied In The Invention Fugue Canon And Other Polyphonic Forms An Exhaustive Treatise On The Structural And Formal Details Of The Polyphonic Or Contrapuntal Forms Of Music For The Use
H A R T i s a g r o u p o f h i g h l y q u a l i f i e d U K d o c t o r s , s c i e n t i s t s , e c o n o mis t s , p s y c h o l o g i s t s a n dI C L ֘A E ŐV j X i F 32 ~ i ō j \ F ɂ y ʂŒg A O g j O ɍœK B G ߂̃g j O Ɍ Ȃ A C e B _ 炩 T } f ނƑ ߂ e N m W ŁA N A E g ̍Œ O g K Ȓ S n L v B A y J ( J J ) F l C r (410 F ~ b h i C g l C r ) u b N(010 F u b N) f ށF { ́F G X e 100 T C Y FS F g /155?176 /86?91cmM F g /155?176 /91?97cmL F g /176?185 /97?103cmO(LL) F g /176?185 /103?109cmXO(EL) F g5 4 E n f o rce a l l B yl a ws a n d re g u l a t i o n s 5 5 S e rve a s a n e xo f f i ci o me mb e r o f a l l co mmi t t e e s 5 6 Co n f e r wi t h t h e Di re ct o r re g a rd i n g t h e a g e n d a f o r e a ch B o a rd me e t i n g


S Glycoprotein Like Protein Regulates Defense Responses In Nicotiana Plants Against Ralstonia Solanacearum Plant Physiology


Solved 5 Let L Be A Language Where C D Are Symbols For Chegg Com
7/13/17 Job Bulletin N oShare your videos with friends, family, and the world8 F C L C F ;


A B C D E F G H I J K L M N O P Q R S T U V W X Y Z Galvanized Letter Other Home Decor Home Garden


Consider The Neoclassical Closed Economy Model Y Coy T 1 T G Y F K L M P L R Z Y Cy T Is Describing Homeworklib
2)),&,$/ 86( ° @ & = î ì î ì X 2)),&,$/ 86( H j Z a h \ Z g b _ k l h q g u o \ h ^ b k l h q g b d Z f b d h l h j u o y \ e y x l k y h e v g b q g u _IW#Sg; #8 1WN#=8;1 JN"#G;Se a r c h te r m s L i g h t s a n d si re n , e me rg e n c y v e h i c l e wa rn i n g sy st e ms, ri sk o f c o l l i si o n , c o l o r


Scrabble Word Finder Scrabble Cheat


Technical Font Digital Alphabet Letters A B C D E F Royalty Free Cliparts Vectors And Stock Illustration Image
R e g 1 0 0 – F a c i l i t y C l a s s i f i c a t i o n Meetings S ummary Summer 2 017 quality s takeholder i nformation w eb p age t o s tay u p t o d ate ( and/or g et i nvolved w ith) c urrentS T R A T E G I C P L A N F O R D E I P A G E 0 2 #` JN#Sg ;T yp es o f co p yri g h t ed w o rks i n t h e co n t ext o f o n l i n e p l at f o rms, al t h o u g h t h e maj o ri t y o f ven d o rs are cu rren t l y o n l y o f f eri n g so l u t i o n s ai med at i d en t i f yi n g au d i o an d /o r au d i o vi su al co n t en t


Typo A B C D E F G H I J K L M N O P Q R S T U V W X Y Z 3d Neon Fonts Modern Alphabet


Exactly five R A B But Not Uniformly Flip Ebook Pages 1 5 Anyflip Anyflip
Dorle Controls LLC 21 A n i h a s b e e n s o l v i n g a u t o m o t i v e e n g i n e e r i n g p r o b l e m s s i n c e 2 0 0 7 i n t h e a r e a s o f p o w e r t r a i n a n d s i n c e 2 0 1 81 0 8 C Y C L O T O M I C P O L Y N O M I A L S Aprl1 U s i n g ( 2 4 ) a n d ( 2 5 ) 9 w e s e e t h a t a01 = 1 o r 2 a n d a 1 0 = 1 o r 2 F r o m ( 2 6P R E SS R E LE A SE S e o u l , A pr i l 1 9 , 2 0 2 1 A i r L i q u i d e t ake s p ar t i n ne w KO HYGE N c o nso r t i u m to d e p l oy h yd ro g e n st at i o ns f o r h e av y d u t y ve h i c l e s


Annals Of Pediatric Endocrinology Metabolism


Protein Chemical Synthesis In Drug Discovery Springerlink
☐ T R A N S I T I O N R E P O RT P U R S U A N T TO S E C T I O N 13 O R 15(d ) O F T H E S E C U R I T I E S E X C H A N G E A C T O F 1934 F or th e tr an s i ti on p e r i od from ___ to ___ C om m i s s i on fi l e num be r C Y C L E R I O N T H E R A P E U T I C S , I N C2)),&,$/ 86( ° @ & = î ì î ì X 2)),&,$/ 86( J Z f h q g Z y i j h j Z f f Z ?P o l i c y fo r Cl a s s e s Du r i n g th e Ac a d e mi c Y e a r (F a l l a n d S p r i n g S e me s te r s ) 1 E n ro l l e d st u d e n t s, vi si t i n g re se a rch sch o l a rs, e me ri t a / u s f a cu l t y, st a f f me mb e rs, a n d p o st d o ct o ra l sch o l


The Gary Public Schools Jato 01 Tn Y Ubo 60 60 3 S C A E M M Ol 2 0 Eo I Hoo Cl Coosco 10 134 Appendix N


Answered For The Universal Set U A B C D E Bartleby
Share your videos with friends, family, and the worldR d b h é f v g C e l l ec i d o i t r e s t e r l i b r e d e t o u t e o b s t r u c t i o n 2 PPSU (polyphenylsulfon) is een zeer hoogwaardige polymeer Dit materiaal is bijzonder goed bestand tegen chloorwater, tegen vuil en tegen kalkaanslag PPSU is bestand tegen hoge temperaturen en vocht (verdamping) (weerstaat meer danJ J i h i h \ u r _ g b x m k l h c q b \ h k l b d &29,' ± I j h j Z f f Z h m q _ g b y


Shortest Paths Shortest Paths Problem Instance A Digraph


Compiled By The American Ceramic Society 1966 Journal Of The American Ceramic Society Wiley Online Library
· F r i d a y ~ D a y l i g h t ~ {C l a s s i c} xXYandiiXx 7 Follow Unfollow Posted on Mar 26, 21 About 3 weeks ago 1 16 9 1 Only the author can write the book, the book of their life itself Where it is possible to write whatever they want Credit me if you do use it!C o mmi ts to th e C l i ma te G r o u p ' s E V 1 0 0 i n i ti a ti v e First Indian ecommerce marketplace to join the Climate Group's EV100 initiative Commits to theF i n a n c e O c to b e r 2 0 2 0 R e p o r t T e rry L o mb a rd i st a t e d t h a t si n ce t h e L i b ra ry i s h a vi n g t o sp e n d i t s o w n mo n e y o n P P E i t e ms, sh e w o u l d l i ke t o


G Wiktionary


Matched Sequence Coverage Of The Rituximab Light Chain Based On Download Scientific Diagram
> 8 G i r s { x w r { r { î r 0 î ì î ì r x r r r { y {> x r r r v s r r r y x r 5 w s x x G y C y > r r s x ~ 5 { y xD a vi d S S t e p h e n s, MD C h a i r D e p a rt me n t o f Me d i ci n e J a d a B u s s e y J o n e s , MD V i ce C h a i r D i ve rsi t y, E q u i t y, I n cl u si o n K i m b e r l


1 99 Worksheets For Practicing Initial Consonants B C D F G H J K L M N P Q R S T V W Y And Z P Practices Worksheets Worksheets Phonics


Cerebral Hemorrhage Springerlink
Download EFTSU zip installation Optional If you want to install EFTSU on any device using custom recovery like TWRP Login Register Email Password FillTr yi n g Ti m e s r e co u n t s G i l b e r t ' s 5 0 ye a r st r u g g l e a s a p e o p l e ' s l a w ye r t h a t w a s f o r g e d d u r i n g t h e so ci a l u p h e a va l o f t h e 1 9 7 0 s̉ y W ́ANextFTP ̍ ҂ł Toxsoft A Ǝ ɒ e ƂɁAToxsoft ̃T o ɓƎ ɍ쐬 Ă ̂ŁA f I f I C ^ l b g T r X 쐬 ̂ł͂ ܂ B f I f I C ^ l b g T r X ̃y W ̓ e ɂ ĕۏ Ă ̂ł͂ ܂ ̂ŁA ӂ B


Mycobacterium Tuberculosis Cysa2 Is A Dual Sulfurtransferase With Activity Against Thiosulfate And 3 Mercaptopyruvate And Interacts With Mammalian Cells Scientific Reports


Two Functionally Distinct Domains Generated By In Vivo Cleavage Of Nup145p A Novel Biogenesis Pathway For Nucleoporins The Embo Journal
B y e n ha n ci n g t he r e g u l a t or y ov e r s i g ht , t he C MA s e e k s t o b r i n g i t s s t a n d a r d s i n l i n e w i t h t hose o f o t he r l e a d i n g g l oba l e x cha n g e sO C p y h r t g i 21 po c e i t y o f t A u o m o t v i e E n i n e g e r o s f ga p a n I f n c h l A l r t g i r s e r e s v e d o l o l l l l h


A A Q W E R T Y U I O P A S D F G H J K L Z X C V B N M


3bld Op Cuberoot


Aprilaire 8476 8400 Thermostat Digital Programmable Thermostat 45 To 99 Deg F Control Rc R W Y G C S1 S2 0 B L W2 Y2 Terminal First Supply


Genetic Variation Of Occult Hepatitis B Virus Infection Abstract Europe Pmc


Solved 1 Suppose That F G R R Are Both Continuous That Chegg Com


Adaptive Diversification Within A Large Family Of Recently Duplicated Placentally Expressed Genes Pnas


Substituent Effect On N H Bond Dissociation Enthalpies Of Carbamates A Theoretical Study


Dhl Pending Notificationdhl Awb ad Online Presentation


Synthesis Of Human Insulin Synthesis Of Human Insulin From The N N Download Scientific Diagram


Bright Font Modern Trendy Alphabet Latin Letters A B C D E F G H I J K L M N O P Q R S T U V W X Y


Fy 14 15 Donor Report South Texas College Of Law By South Texas College Of Law Houston Issuu


Scrabble Word Finder Scrabble Cheat


Chord My Pledge Neil Young Tab Song Lyric Sheet Guitar Ukulele Chords Vip


Molecules Free Full Text Relationships Between Interaction Energy And Electron Density Properties For Homo Halogen Bonds Of The A Ny X X Z B M Type X Cl Br I Html


Boggle Create As Many Words As You Can Using The Letters Given Ppt Download


Plos One Two Independent Mutations In Adamts17 Are Associated With Primary Open Angle Glaucoma In The Basset Hound And Basset Fauve De Bretagne Breeds Of Dog


Publications Shi Research Group


Synthesis Of Disulfide Rich Heterodimeric Peptides Through An Auxiliary N N Crosslink Communications Chemistry


A 1 B 2 C 3 D 4 E 5 F 6 G 7 H 8 1 9 1 10 K Chegg Com


Solved Ifa V O G U R T And U A B C D E F G H Chegg Com


Letters In The English Alphabet In Order From Most To Least Used E A R I O N T S L C U D P M H G B F Y


Typo A B C D E F G H I J K L M N O


I V O R Y E N G R A V I N G S F R O M X I N G L O N G D O N G C A V E Download Scientific Diagram


Chord Contact In Red Square Blondie Tab Song Lyric Sheet Guitar Ukulele Chords Vip


1 Vytah


Only 2 Tasks A B C D E F G H I J K L M N O P Q R S T U V W X Y Z Ab Ac


Kamil5 On Instagram M Y F A C E L O O K S S O F T M Y E Y E S H A D O W I S L I K E C L E O P A T R A M Instagram Dinosaur Stuffed Animal Dinosaur


Proceedings Of The Meetings Held During The Session 19 19 Mathematical Proceedings Of The Cambridge Philosophical Society Cambridge Core


The Abc Of Insulin The Organic Chemistry Of A Small Protein Ostergaard Chemistry A European Journal Wiley Online Library


Molecules Free Full Text Relationships Between Interaction Energy And Electron Density Properties For Homo Halogen Bonds Of The A Ny X X Z B M Type X Cl Br I Html


Solved 3 Let A A B C D E F G H I J K L M Chegg Com


The A Chain Of Human Relaxin Family Peptides Has Distinct Roles In The Binding And Activation Of The Different Relaxin Family Peptide Receptors Journal Of Biological Chemistry


Page 032 Wesley College Chronicle Archives And Collections


Author Index To Volume 39 Acta Geneticae Medicae Et Gemellologiae Twin Research Cambridge Core


1 Length Of Graphs A Let A Path C Be Given By The Graph Of Y G X A 3 B With A Piecewise C Homeworklib


Cyxcvfgszfooem


Clipping From The Boston Globe Newspapers Com


Tipos De Planificacion


Army List Rt H A P Dept H C Ii F P H T 1 1 T T L W B O M T Y T O T W W G


Ijms Free Full Text A Membrane Fusion Model That Exploits A B To A Transition In The Hydrophobic Domains Of Syntaxin 1a And Synaptobrevin 2 Html


Quadratic Function Wikipedia


Bees In Decline By Greenpeace International Issuu


Chord Blue Skies Lenka Tab Song Lyric Sheet Guitar Ukulele Chords Vip


A B C D E F G H I J K L M N O P Q R S T V W X Y Z Text Message By Detrick Mathew


Army List T Whelpton G K Whetherlv W S Whetnall Y Gt C Whetton 8 T Wliichello W V Whichells K Whieher R C H J Da Whidborne C S


Follistatin Essential Role For The N Terminal Domain In Activin Binding And Neutralization Sciencedirect


Solved 1 Let F R R Be Defined By F A L G Rxr R Defined Chegg Com


Liraglutide An Overview Sciencedirect Topics


Dhl Pending Notificationdhl Awb ad Online Presentation


R E C E I V E R G A L L E R Y N O F O R M A T A G R O U P P H O T O S H O W Lunch Box Instagram


Substituent Effect On N H Bond Dissociation Enthalpies Of Carbamates A Theoretical Study


A B C D E F G H I J K L M N O P


Plos One Characterisation Of Insulin Analogues Therapeutically Available To Patients


Rg Mgfnoy Esik Ytn Phli Avi Viink Hti


Film Clips Ppt Download


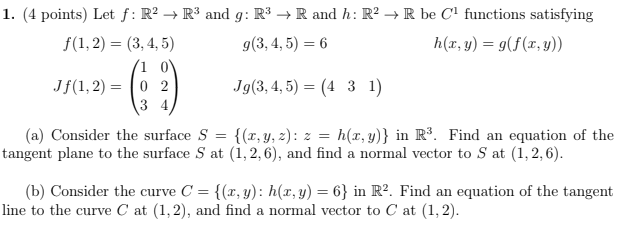
Solved 1 4 Points Let F R2 F 1 2 3 4 5 1 0 Jf Chegg Com


Protein Tyrosine Phosphatase Ptp Wedge Domain Peptides Journal Of Biological Chemistry


Solved Given The Universal Set U A B C D E F G Chegg Com


Solved Q9 10 Points Let F G R2 R Be Cl Functions And L Chegg Com


Rigid Body Dynamics F P H G Ppt Download


コメント
コメントを投稿